沼氣流量計的原理與空氣標定及蒸汽裝置的數據對比
點擊次數:2827 發布時間:2021-01-08 05:48:53
摘 要: 有文獻指出,空氣與蒸汽流量在沼氣流量計上的對比誤差高達 7. 8% 。從動力學相似的角度,澄清了用空氣代替水蒸氣進行標定的理論依據。沼氣流量計對不同被檢介質有較廣泛的適應性,較大的誤差一方面來源于介質、產品設計的魯棒性不夠、對關鍵參數的質量控制不到位等因素; 另一方面源于過去的蒸汽應用不豐富,經常依靠化工算圖及模型的手段來估算蒸汽的黏度和密度。這種估算存在化工知識、物理模型以及復雜的單位制轉換這三大難點,不易推廣。利用在線計算器,可以快速、準確地獲取蒸汽的狀態數據,并用算例加以說明。將空氣標定的沼氣流量計在蒸汽裝置上進行實流測試,得出流量對比誤差可以控制在 2. 5% 以內。
引言
蒸汽是現代生產中不可分割的一部分,食品工業、紡織、化工、醫藥、電力乃至運輸環節都有蒸汽參與。蒸汽提供了一種總量可控的二次能量輸送方式: 從自動化的中央鍋爐房到各類用戶手中使用。基于眾多原因,使水蒸氣成為了應用廣泛的熱能形式: 水在自然界比較充足,且容易獲得; 對人體無毒害,對環境友好; 加熱到氣態時,它是一種安全,且高效的能源傳輸方式;在同等重量下,水蒸氣所能攜帶的能量( 2 675 kJ / kg)可達水( 420 kJ / kg) 的六倍以上等。不僅如此,水蒸氣還可以用來消毒,因此廣泛應用于食品工業和醫藥行業。此外,蒸汽不會有火災危險。事實上,許多石化企業利用蒸汽來建設滅火系統,蒸汽同樣可用于危險區域。
從流體形態來說,水蒸氣比空氣( 或水) 更加多樣化。受溫度、壓力的影響,其形態有過熱蒸汽和飽和蒸汽; 在運輸過程中,由于熱能的損失,蒸汽形態可能會進一步演變為濕蒸汽,即氣液兩相流。在兩相流的狀態下,通常會用濕度( 或干度) 這一指標來表征蒸汽、水兩者間的比例。其形態多樣化帶來了計量上的困難。作為蒸汽提供方的電廠與需方用戶,統計得到的蒸汽計量數據往往差異比較大。舉例來說,按照年產量 800 kt 來計算,計量偏差可高達 20% 左右,損失可達 700 萬 元 以 上,有 的 甚 至 更 大,偏 差 能 達 到 40%左右。目前,絕大多數用于蒸汽計量的流量計采用的檢定介質是空氣。這種標定裝置精度較高,但與實際生產情況相差甚遠。另一方面,以蒸汽作為介質對蒸汽流量計實測檢定,盡管更接近實際使用工況,但操作難度大、費用高,致使一些使用蒸汽流量計的單位不愿送檢。在 煙 臺、廣 州、蘭 州,都曾建設過這類標定裝置。
鄭燦亭提出,從流體的相似律出發,用空氣代替水蒸氣進行檢定。其理論依據是流體的相似率--對于兩種不同的流體,在其充滿的管道中流動,受到慣性力和摩擦力這兩個力的直接影響。這兩個力的比值為雷諾數。也就是說,若要求兩種流場動力學相似,兩者的雷諾數就必須相同。流場動力學相似,意味著兩種流束在流體動力學上相似,則通過流量檢定裝置時,流量系數也是相同的。這就能達到以壓縮空氣代替蒸汽的目的。
文獻指出,蒸汽密度公式不統一,尚沒有自洽的標準; 在蒸汽裝置上的檢定數據對比也還不夠豐富。針對以上兩點,本文提出利用在線計算器查找蒸汽數據,然后與專業書籍中的數據相互印證,包括密度和黏度數據,大大提高了數據獲取的效率和準確性; 把在空氣檢定裝置上標定過的沼氣流量計,再用蒸汽作為檢定介質,并提供兩者的對比數據。
1 沼氣流量計的原理及蒸汽數據準備
1. 1 渦接流量計工作原理
把一個阻流體垂直插入管道中,流體會繞過阻流體流動,并在阻流體兩側形成有規則的旋渦列,左右兩側的旋渦旋轉方向相反。沼氣流量計原理如圖 1 所 示。這種旋渦列稱為卡門渦街。根據卡門的研究,只有當渦列寬度 h 與同列相鄰兩旋渦的間距 l 之比滿足某個比例時,旋渦列才可以穩定存在。比如,對圓形阻流體,要求兩者比值為 0. 281。

根據卡門渦街原理,旋渦頻率 f 與管內平均流速 V
有如下關系:

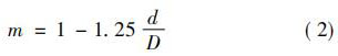
式中: 珋v 為旋渦發生體兩側平均流速,m / s; d 為旋渦發生體特征寬度,m; Sr 為斯特勞哈爾常數,無量綱常數; V 為管道流體平均流速,m / s; m 為旋渦發生體兩側弓形面積與管道截面積之比。 如,對于寬度為 d 的三角柱,有:

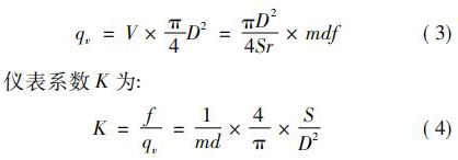
式中: D 為管道內徑,m; m 隨發生體形狀不同而不同。瞬時體積流量 qv 為:

式中: qv 為通過流量計的體積流量; f 為流量計輸出的信號頻率; K 為沼氣流量計的儀表系數。
雷諾數 Re 一方面與 Sr 有關,另一方面與流體的黏度有關。*先,由于沼氣流量計利用的是頻率與流速之間的正比關系,見式( 1) ,Sr 數值的穩定性會直接影響到產品的線性度。理想情況下,在相當寬的 Re 范圍內( 2×104 ~ 7 × 106 ) ,Sr 都是不變量。
斯特勞哈爾數 Sr 與雷諾數 Re 之間的關系曲線如圖 2 所示。當阻流體尺寸確定后

就應該是常量。但在現實情形下,管道形狀、阻流體形狀、阻流體在管道中位置的一致性、傳感器的深度及其相對阻流體的前后位置等幾何參數都會影響 Sr,導致 Sr 發生改變。
因此,各個廠家產品性能會有較大差異。圖 2 中,數據僅供參考。

在產品的批量生產中,對這些幾何量的把握會體現出不同廠家的產品設計和制造水平。在實際制造中,加工誤差客觀存在。這就考驗廠家的產品設計能力。一個魯棒性較高的設計,對關鍵參數的把握會比較到位。而對于非關鍵參數,加工精度就無須過分嚴格。這對產品質量的穩定性和系統重復性非常有幫助。換句話說,一個好的設計,不應該使得流量計精度及重復性這些產品性能指標對零件的加工誤差過于敏感。
由于設計和制造水平不同,導致各廠家產品的質量參差不齊。如有的產品在空氣和蒸汽兩種介質的對比試驗中,精度差別高達 7. 85%。在各國沼氣流量計的工業標準中,日本的 JISZ 8766 提出將阻流體分為 1 型 和 2 型。該標準可以用來作為參考,從而幫助辨別各廠家產品的質量。此標準中: 2 型 Sr 的平均值是 0. 250 33,標準偏差是 0. 12% ,而 1 型標準偏差為 0. 3% 。
一般來說,只要流體雷諾數在儀表精度保證范圍內,比如 2 × 104 ~ 7 × 106,檢定過程中并不會由于介質的不同造成明顯的誤差,故這個影響可不考慮。換言之,Sr 可看成定值,但前提是雷諾數不可超出保證精度的區間,否則會引發 Sr 的較大差異。具體判斷依據雷諾數的計算來確定,可參考式( 5) 。
1. 2 蒸汽數據的準備
Re 數與流體的黏度直接有關,見式( 5) 。從流體力學出發的動力學相似要求雷諾數相等,也就是式( 5) 計算值要相等:

式中: V 與 D 與上文一致; ρ為流體密度,kg /m3 ; μ為流體的動力黏度,Pa·s; v 為流體運動黏度,m2 / s。
在參考文獻中,鄭燦亭結合化工工藝算圖中的低壓氣體黏度公式,估算出水蒸氣的黏度公式。該方法采用了近似模型,引用的參考文獻也非常專業。這種方法在 20 世紀 90 年代比較常用。目前,隨著專業公司的出現,水蒸氣的數據逐步變得越來越豐富,估算公式的應用顯得沒那么必要。這是因為參數得查閱和計算,對使用者的專業要求較高,模型以及復雜的單位轉換等都形成了大大小小的障礙; 同時,估算的精度也會隨著模型的準確度,以及溫度和壓力的變化而降低。
利用在線計算器,能快速、準確地得到飽和蒸汽與過熱蒸汽的黏度值。以 160 ℃ 的飽和蒸汽為例,在工具書上查出其飽和蒸汽壓為 0. 618 MPa,密 度 為3. 258 kg /m3,黏度為 1. 432 × 10 - 5 Pa·s。作為驗證,選擇米-千克-秒( meter kilogram second,MKS) 單位制,從參考文獻提供的在線計算器中,輸入以上溫度和壓力值,可以很方便地得到黏度值為1. 434 × 10 - 5 Pa·s,比 體積為0. 306 9 m3/ kg,即密度為3. 258 6 kg/m3。
再如 150 ℃的飽和蒸汽,在工具書上查出其飽和蒸汽壓為 0. 476 MPa,密度為 2. 547 kg /m3,黏度為1. 393 × 10 - 5 Pa·s。作為驗證,同樣選擇 MKS 單位制,從在線計算器中,輸入溫度和壓力值,得到黏度值為 1. 399 × 10 - 5 Pa·s,比體積為 0. 392 6 m3 / kg,即密度為 2. 547 kg /m3
上述兩個算例,驗證了利用在線計算器可以快速得到準確的飽和蒸汽黏度和密度值。這可以使得蒸汽方面的計算變得更加高效。對于過熱蒸汽,同樣可以得到黏度和密度值,方法類似,此處不再贅述。
2 空氣標定及蒸汽裝置的數據對比
2. 1 以空氣為試驗介質進行標定
裝置流體溫度、壓力、流量穩定后,進行示值誤差檢定。檢定對象為 FSV430 沼氣流量計,管段口徑DN80,流量點選用 0. 1Qmax、0. 25Qmax、0. 5Qmax、0. 75Qmax、Qmax這 5 個流量點。該檢定裝置采用帶有標準表的音速噴嘴法,介質為空氣,流量范圍 3. 5 ~5 400 m3 / h,對應的擴展不確定度為 U = 0. 25%( k = 2) 。
檢定過程中,每個流量點實際檢定流量與設定流量偏差不超過設定流量點的±5% 。因為是出廠標定,每個流量點檢定 1 次,每次 1 min。檢定溫度為 20°,壓力為 0. 1 MPa。
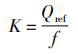
各檢定流量點的儀表系數 K 的計算方式為:

式中: Qref為流量標準值; f 為沼氣流量計的頻率。
2. 2 以蒸汽為試驗介質的對比
為了進行比對,下文再以蒸汽為檢定介質,重復以上流量點的測試。每個流量點的檢測次數增加為 3 次,每次持續時間為 1 min。該檢定裝置采用冷凝稱重法,介質為過熱空氣,流量范圍 0. 01 ~ 30 t / h,對 應 的 擴 展 不確定度為 U =0. 1% ( k = 2) 。
試驗開始前,可以用在線計算器根據操作溫度( 157. 38 ℃ ) 和壓力( 0. 444 MPa) ,判斷實際管道中的蒸汽狀態是過熱還是飽和。輸入操作壓力,得到飽和蒸汽對應的溫度為 147. 41 ℃,實際操作溫度為157. 38 ℃,高于飽和溫度。因此,可判斷管道中的蒸汽處于過熱狀態。
測試對象為同一臺表,DN80 口徑,帶有在空氣標定裝置上的 5 點標定系數。將管道介質設定為過熱蒸汽,并預設溫度為 160 ℃ 和壓力 0. 4 MPa,以便儀表計算過熱蒸汽的密度。試驗數據對照如表 3 所示。

2. 3 試驗數據對比分析
根據空氣檢定裝置的溫度 20 ℃ 和壓力 0. 1 MPa,可以查到空氣運動黏度為 1. 506 × 10 - 5 m2 / s。一方 面,根據在線計算器,可以得到蒸汽黏度為1. 431 ×10 - 6 Pa·s,以及密度為2. 32 kg /m3。由公式 v = μρ,可 以得到蒸汽的運動黏度為 6. 17 × 10 - 6 m2 / s。對比可知,當前測試中的蒸汽黏度大約是空氣的 40% ,根據公式( 5) ,蒸汽的雷諾數更高。空氣的雷諾數區間為[1. 3 × 104,44 × 104 ],相 應 的 蒸 汽 雷 諾 數 區 間 為[3. 17 × 104,107. 36 × 104]。盡管蒸汽的雷諾數更高,但仍處于 Sr-Re 曲線上線性度較好的區間。如* 2 節對雷諾數討論部分所述,Sr 受雷諾數的影響可以不考慮。
另一方面,就流體形態而言,因為有更低的運動黏度,蒸汽比空氣更容易進入紊流區域( Re > 4 000) 。所 以,對于水蒸氣這樣的應用,沼氣流量計的起步雷諾數,即小流量的流量下限,可以下降更低的區域。這一特點使得沼氣流量計在蒸汽應用上更有優勢。
從表 3 的數據來看,小流量下重復性誤差較大。這一方面與小流量的信噪比有關,另一方面也與試驗過程中采用的檢定輸出方式( 當前試驗選用保留兩位小數的 4 ~ 20 mA 輸出方式) 有關。如果選用精度更高的檢定方式,比如頻率較高的脈沖,就可以明顯降低由于輸出方式導致的檢定誤差。比如,實際數據點在小流量點( 10% ) 上為 5. 72 mA、5. 7 mA 和 5. 73 mA,而 在 75% 流 量 點 上 為 15. 52 mA、15. 56 mA 和15. 53 mA。同樣是0. 03 mA的波動,帶來的重復性就從 0. 09 變到了 0. 34。
3 結束語
從兩次檢定的試驗數據可以看出,用空氣進行出廠標定為 0. 5% 的系數,用到蒸汽上,誤差會略有放大,但仍在 2. 5% 范圍內。兩種流體的雷諾數相差約2. 4 倍。由于儀表阻流體的幾何參數及傳感器的相對位置控制,會有 Sr 數的波動。對于這一點,在進一步的試驗中,可以通過改變操作溫度和壓力等讓兩種流體的雷諾數盡量位于線性度較好的區域。在滿足 Sr-Re 關系較為平緩的情況下,該誤差完全有希望進一步縮小。另一方面,由于蒸汽溫度和壓力的范圍較大,即便是在標準裝置上校準得到的實流標定系數,與用戶具體使用的蒸汽狀態也未必一樣。蒸汽與蒸汽之間也可以探索用流體的相似率來標定,得到符合用戶精度需求的校準系數。
引言
蒸汽是現代生產中不可分割的一部分,食品工業、紡織、化工、醫藥、電力乃至運輸環節都有蒸汽參與。蒸汽提供了一種總量可控的二次能量輸送方式: 從自動化的中央鍋爐房到各類用戶手中使用。基于眾多原因,使水蒸氣成為了應用廣泛的熱能形式: 水在自然界比較充足,且容易獲得; 對人體無毒害,對環境友好; 加熱到氣態時,它是一種安全,且高效的能源傳輸方式;在同等重量下,水蒸氣所能攜帶的能量( 2 675 kJ / kg)可達水( 420 kJ / kg) 的六倍以上等。不僅如此,水蒸氣還可以用來消毒,因此廣泛應用于食品工業和醫藥行業。此外,蒸汽不會有火災危險。事實上,許多石化企業利用蒸汽來建設滅火系統,蒸汽同樣可用于危險區域。
從流體形態來說,水蒸氣比空氣( 或水) 更加多樣化。受溫度、壓力的影響,其形態有過熱蒸汽和飽和蒸汽; 在運輸過程中,由于熱能的損失,蒸汽形態可能會進一步演變為濕蒸汽,即氣液兩相流。在兩相流的狀態下,通常會用濕度( 或干度) 這一指標來表征蒸汽、水兩者間的比例。其形態多樣化帶來了計量上的困難。作為蒸汽提供方的電廠與需方用戶,統計得到的蒸汽計量數據往往差異比較大。舉例來說,按照年產量 800 kt 來計算,計量偏差可高達 20% 左右,損失可達 700 萬 元 以 上,有 的 甚 至 更 大,偏 差 能 達 到 40%左右。目前,絕大多數用于蒸汽計量的流量計采用的檢定介質是空氣。這種標定裝置精度較高,但與實際生產情況相差甚遠。另一方面,以蒸汽作為介質對蒸汽流量計實測檢定,盡管更接近實際使用工況,但操作難度大、費用高,致使一些使用蒸汽流量計的單位不愿送檢。在 煙 臺、廣 州、蘭 州,都曾建設過這類標定裝置。
鄭燦亭提出,從流體的相似律出發,用空氣代替水蒸氣進行檢定。其理論依據是流體的相似率--對于兩種不同的流體,在其充滿的管道中流動,受到慣性力和摩擦力這兩個力的直接影響。這兩個力的比值為雷諾數。也就是說,若要求兩種流場動力學相似,兩者的雷諾數就必須相同。流場動力學相似,意味著兩種流束在流體動力學上相似,則通過流量檢定裝置時,流量系數也是相同的。這就能達到以壓縮空氣代替蒸汽的目的。
文獻指出,蒸汽密度公式不統一,尚沒有自洽的標準; 在蒸汽裝置上的檢定數據對比也還不夠豐富。針對以上兩點,本文提出利用在線計算器查找蒸汽數據,然后與專業書籍中的數據相互印證,包括密度和黏度數據,大大提高了數據獲取的效率和準確性; 把在空氣檢定裝置上標定過的沼氣流量計,再用蒸汽作為檢定介質,并提供兩者的對比數據。
1 沼氣流量計的原理及蒸汽數據準備
1. 1 渦接流量計工作原理
把一個阻流體垂直插入管道中,流體會繞過阻流體流動,并在阻流體兩側形成有規則的旋渦列,左右兩側的旋渦旋轉方向相反。沼氣流量計原理如圖 1 所 示。這種旋渦列稱為卡門渦街。根據卡門的研究,只有當渦列寬度 h 與同列相鄰兩旋渦的間距 l 之比滿足某個比例時,旋渦列才可以穩定存在。比如,對圓形阻流體,要求兩者比值為 0. 281。

根據卡門渦街原理,旋渦頻率 f 與管內平均流速 V
有如下關系:

式中: 珋v 為旋渦發生體兩側平均流速,m / s; d 為旋渦發生體特征寬度,m; Sr 為斯特勞哈爾常數,無量綱常數; V 為管道流體平均流速,m / s; m 為旋渦發生體兩側弓形面積與管道截面積之比。 如,對于寬度為 d 的三角柱,有:

式中: D 為管道內徑,m; m 隨發生體形狀不同而不同。瞬時體積流量 qv 為:

式中: qv 為通過流量計的體積流量; f 為流量計輸出的信號頻率; K 為沼氣流量計的儀表系數。
雷諾數 Re 一方面與 Sr 有關,另一方面與流體的黏度有關。*先,由于沼氣流量計利用的是頻率與流速之間的正比關系,見式( 1) ,Sr 數值的穩定性會直接影響到產品的線性度。理想情況下,在相當寬的 Re 范圍內( 2×104 ~ 7 × 106 ) ,Sr 都是不變量。
斯特勞哈爾數 Sr 與雷諾數 Re 之間的關系曲線如圖 2 所示。當阻流體尺寸確定后

就應該是常量。但在現實情形下,管道形狀、阻流體形狀、阻流體在管道中位置的一致性、傳感器的深度及其相對阻流體的前后位置等幾何參數都會影響 Sr,導致 Sr 發生改變。
因此,各個廠家產品性能會有較大差異。圖 2 中,數據僅供參考。

在產品的批量生產中,對這些幾何量的把握會體現出不同廠家的產品設計和制造水平。在實際制造中,加工誤差客觀存在。這就考驗廠家的產品設計能力。一個魯棒性較高的設計,對關鍵參數的把握會比較到位。而對于非關鍵參數,加工精度就無須過分嚴格。這對產品質量的穩定性和系統重復性非常有幫助。換句話說,一個好的設計,不應該使得流量計精度及重復性這些產品性能指標對零件的加工誤差過于敏感。
由于設計和制造水平不同,導致各廠家產品的質量參差不齊。如有的產品在空氣和蒸汽兩種介質的對比試驗中,精度差別高達 7. 85%。在各國沼氣流量計的工業標準中,日本的 JISZ 8766 提出將阻流體分為 1 型 和 2 型。該標準可以用來作為參考,從而幫助辨別各廠家產品的質量。此標準中: 2 型 Sr 的平均值是 0. 250 33,標準偏差是 0. 12% ,而 1 型標準偏差為 0. 3% 。
一般來說,只要流體雷諾數在儀表精度保證范圍內,比如 2 × 104 ~ 7 × 106,檢定過程中并不會由于介質的不同造成明顯的誤差,故這個影響可不考慮。換言之,Sr 可看成定值,但前提是雷諾數不可超出保證精度的區間,否則會引發 Sr 的較大差異。具體判斷依據雷諾數的計算來確定,可參考式( 5) 。
1. 2 蒸汽數據的準備
Re 數與流體的黏度直接有關,見式( 5) 。從流體力學出發的動力學相似要求雷諾數相等,也就是式( 5) 計算值要相等:

式中: V 與 D 與上文一致; ρ為流體密度,kg /m3 ; μ為流體的動力黏度,Pa·s; v 為流體運動黏度,m2 / s。
在參考文獻中,鄭燦亭結合化工工藝算圖中的低壓氣體黏度公式,估算出水蒸氣的黏度公式。該方法采用了近似模型,引用的參考文獻也非常專業。這種方法在 20 世紀 90 年代比較常用。目前,隨著專業公司的出現,水蒸氣的數據逐步變得越來越豐富,估算公式的應用顯得沒那么必要。這是因為參數得查閱和計算,對使用者的專業要求較高,模型以及復雜的單位轉換等都形成了大大小小的障礙; 同時,估算的精度也會隨著模型的準確度,以及溫度和壓力的變化而降低。
利用在線計算器,能快速、準確地得到飽和蒸汽與過熱蒸汽的黏度值。以 160 ℃ 的飽和蒸汽為例,在工具書上查出其飽和蒸汽壓為 0. 618 MPa,密 度 為3. 258 kg /m3,黏度為 1. 432 × 10 - 5 Pa·s。作為驗證,選擇米-千克-秒( meter kilogram second,MKS) 單位制,從參考文獻提供的在線計算器中,輸入以上溫度和壓力值,可以很方便地得到黏度值為1. 434 × 10 - 5 Pa·s,比 體積為0. 306 9 m3/ kg,即密度為3. 258 6 kg/m3。
再如 150 ℃的飽和蒸汽,在工具書上查出其飽和蒸汽壓為 0. 476 MPa,密度為 2. 547 kg /m3,黏度為1. 393 × 10 - 5 Pa·s。作為驗證,同樣選擇 MKS 單位制,從在線計算器中,輸入溫度和壓力值,得到黏度值為 1. 399 × 10 - 5 Pa·s,比體積為 0. 392 6 m3 / kg,即密度為 2. 547 kg /m3
上述兩個算例,驗證了利用在線計算器可以快速得到準確的飽和蒸汽黏度和密度值。這可以使得蒸汽方面的計算變得更加高效。對于過熱蒸汽,同樣可以得到黏度和密度值,方法類似,此處不再贅述。
2 空氣標定及蒸汽裝置的數據對比
2. 1 以空氣為試驗介質進行標定
裝置流體溫度、壓力、流量穩定后,進行示值誤差檢定。檢定對象為 FSV430 沼氣流量計,管段口徑DN80,流量點選用 0. 1Qmax、0. 25Qmax、0. 5Qmax、0. 75Qmax、Qmax這 5 個流量點。該檢定裝置采用帶有標準表的音速噴嘴法,介質為空氣,流量范圍 3. 5 ~5 400 m3 / h,對應的擴展不確定度為 U = 0. 25%( k = 2) 。
檢定過程中,每個流量點實際檢定流量與設定流量偏差不超過設定流量點的±5% 。因為是出廠標定,每個流量點檢定 1 次,每次 1 min。檢定溫度為 20°,壓力為 0. 1 MPa。
各檢定流量點的儀表系數 K 的計算方式為:

式中: Qref為流量標準值; f 為沼氣流量計的頻率。
2. 2 以蒸汽為試驗介質的對比
為了進行比對,下文再以蒸汽為檢定介質,重復以上流量點的測試。每個流量點的檢測次數增加為 3 次,每次持續時間為 1 min。該檢定裝置采用冷凝稱重法,介質為過熱空氣,流量范圍 0. 01 ~ 30 t / h,對 應 的 擴 展 不確定度為 U =0. 1% ( k = 2) 。
試驗開始前,可以用在線計算器根據操作溫度( 157. 38 ℃ ) 和壓力( 0. 444 MPa) ,判斷實際管道中的蒸汽狀態是過熱還是飽和。輸入操作壓力,得到飽和蒸汽對應的溫度為 147. 41 ℃,實際操作溫度為157. 38 ℃,高于飽和溫度。因此,可判斷管道中的蒸汽處于過熱狀態。
測試對象為同一臺表,DN80 口徑,帶有在空氣標定裝置上的 5 點標定系數。將管道介質設定為過熱蒸汽,并預設溫度為 160 ℃ 和壓力 0. 4 MPa,以便儀表計算過熱蒸汽的密度。試驗數據對照如表 3 所示。

2. 3 試驗數據對比分析
根據空氣檢定裝置的溫度 20 ℃ 和壓力 0. 1 MPa,可以查到空氣運動黏度為 1. 506 × 10 - 5 m2 / s。一方 面,根據在線計算器,可以得到蒸汽黏度為1. 431 ×10 - 6 Pa·s,以及密度為2. 32 kg /m3。由公式 v = μρ,可 以得到蒸汽的運動黏度為 6. 17 × 10 - 6 m2 / s。對比可知,當前測試中的蒸汽黏度大約是空氣的 40% ,根據公式( 5) ,蒸汽的雷諾數更高。空氣的雷諾數區間為[1. 3 × 104,44 × 104 ],相 應 的 蒸 汽 雷 諾 數 區 間 為[3. 17 × 104,107. 36 × 104]。盡管蒸汽的雷諾數更高,但仍處于 Sr-Re 曲線上線性度較好的區間。如* 2 節對雷諾數討論部分所述,Sr 受雷諾數的影響可以不考慮。
另一方面,就流體形態而言,因為有更低的運動黏度,蒸汽比空氣更容易進入紊流區域( Re > 4 000) 。所 以,對于水蒸氣這樣的應用,沼氣流量計的起步雷諾數,即小流量的流量下限,可以下降更低的區域。這一特點使得沼氣流量計在蒸汽應用上更有優勢。
從表 3 的數據來看,小流量下重復性誤差較大。這一方面與小流量的信噪比有關,另一方面也與試驗過程中采用的檢定輸出方式( 當前試驗選用保留兩位小數的 4 ~ 20 mA 輸出方式) 有關。如果選用精度更高的檢定方式,比如頻率較高的脈沖,就可以明顯降低由于輸出方式導致的檢定誤差。比如,實際數據點在小流量點( 10% ) 上為 5. 72 mA、5. 7 mA 和 5. 73 mA,而 在 75% 流 量 點 上 為 15. 52 mA、15. 56 mA 和15. 53 mA。同樣是0. 03 mA的波動,帶來的重復性就從 0. 09 變到了 0. 34。
3 結束語
從兩次檢定的試驗數據可以看出,用空氣進行出廠標定為 0. 5% 的系數,用到蒸汽上,誤差會略有放大,但仍在 2. 5% 范圍內。兩種流體的雷諾數相差約2. 4 倍。由于儀表阻流體的幾何參數及傳感器的相對位置控制,會有 Sr 數的波動。對于這一點,在進一步的試驗中,可以通過改變操作溫度和壓力等讓兩種流體的雷諾數盡量位于線性度較好的區域。在滿足 Sr-Re 關系較為平緩的情況下,該誤差完全有希望進一步縮小。另一方面,由于蒸汽溫度和壓力的范圍較大,即便是在標準裝置上校準得到的實流標定系數,與用戶具體使用的蒸汽狀態也未必一樣。蒸汽與蒸汽之間也可以探索用流體的相似率來標定,得到符合用戶精度需求的校準系數。


