相關產品推薦更多 >>
dn150污水流量計傳感器檢測原理及權函數仿真與分析
點擊次數:2380 發布時間:2020-12-24 02:51:23
摘要:在非理想流場條件下,異徑dn150污水流量計傳感器將產生較大的測量誤差。提高傳感器權函數分布均勻度,有助于提高傳感器的非理想流場測量性能。因此,需要開展傳感器權函數分布規律的研究。基于有限元軟件COMSOL,分析了4種異徑dn150污水流量計傳感器權函數的均勻度,結果表明:矩形異徑傳感器的權函數*均勻。建立矩形異徑dn150污水流量計傳感器三維模型,研究權函數與矩形段長寬高的分布規律,結果表明:矩形段高度對權函數均勻性的影響*大,寬度稍小,長度影響*小。矩形段的高度和寬度越小,權函數分布越均勻,測量結果受非理想流場的影響越小。
引言
異徑dn150污水流量計傳感器由于安裝空間狹小、前后沒有理想直管段,管道內被測流場通常是非理想流場,將導致測量值與真實值存在較大偏差、影響計量精度。為提高非理想流場的測量性能,需要研究合適的異徑截面形狀和尺寸,以提高傳感器內權函數分布的均勻度。然而國內外相關的研究較少。ShercliffJA和BevirMK等人*次提出和深化了dn150污水流量計的權函數理論。衛開夏等人利用ANSYS有限元軟件求解非滿管dn150污水流量計的權函數分布。孔令富等人使用MATLAB軟件中的PDE工具箱對權函數進行有限元求解。王月明等人基于ANSYS對含有非導電物質時的dn150污水流量計進行有限元分析。李雪菁采用COMSOLMultiphysics有限元軟件求解非絕緣管dn150污水流量計的權函數分布。王經卓等人基于COMSOL軟件,利用流體像素的方法求解dn150污水流量計權函數的分布。上述文獻主要針對圓管dn150污水流量計傳感器點電極的二維權函數進行分析,其研究結果與實際三維情況存在偏差。同時,尚未有人針對異徑dn150污水流量計傳感器三維權函數的分布規律進行研究。由于無可參考的非理想流場測量工況的理論依據,研發人員無法確定究竟何種異徑截面有助于提高權函數均勻度,也無法確定哪一種尺寸有助于提高權函數均勻度。針對這一問題,本文從理論上研究權函數與耦合電動勢關系,確定提高權函數分布均勻度有助于非理想流場測量。通過COMSOL軟件采用電場模擬法,分析4種不同異徑截面dn150污水流量計傳感器的權函數分布均勻度,確定較優的異徑截面形狀。針對優選異徑截面形狀的圓電極dn150污水流量計傳感器,研究權函數分布均勻度與異徑段長寬高之間的規律。所得結論為異徑dn150污水流量計傳感器的測量管結構尺寸設計提供了一定的參考,也為提高異徑dn150污水流量計傳感器的非理想流場測量性能提供了理論依據。
1、dn150污水流量計傳感器檢測原理
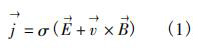
當導電性液體在磁場中作切割磁力線運動時,液體中有感應電流產生。假定液體的電導率δ是均勻、各向同性的,則歐姆定律的普遍公式寫作

式中j→為電流密度矢量,為通過液體單位面積的電流,A/m2;E→為電場強度矢量,V/m;v→為流體速度,m/s;B→為磁感應強度,T。當激勵電流角頻率ω不大時,流體中的位移電流完全可以忽略,即

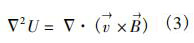
將式(2)帶入式(1)得dn150污水流量計傳感器的基本測量方程

式中U為感應電動勢,V;2為拉普拉斯算子;為哈密頓算子。
通常借助Green函數G來求解微分方程(3),G滿足Laplace方程

根據傳感器的管道形狀和電絕緣邊界條件,建立了完整形式的dn150污水流量計傳感器基本方程

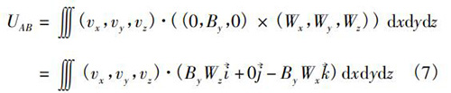
式中V為dn150污水流量計傳感器測量空間;W→為權函數。在直角坐標系(x,y,z)中,式(5)可以轉換為

若磁感應強度在傳感器有效工作區間內分布均勻,則磁感應強度B=By,Bx=Bz=0,式(6)可以化為

當流速為軸向流時,即v=-vz,vx=vy=0;則式(7)表示為

同時,若傳感器內的權函數分布均勻,Wx=W,則式(8)變為

傳感器內的權函數分布均勻時,感應電動勢大小只與流速積分值成正比,不依賴于流型的分布,有利于非理想流場的精確測量。
2權函數仿真與分析
dn150污水流量計傳感器內的流體微元切割磁力線產生感應的電勢和電位,相當于一個個微小的“電源”。某一點的權函數應為該點微元作為“電源”所產生的電位梯度與電極間電位差之比。所以,可以采用電場模擬法測定權函數:傳感器空間內充滿導電液體(一般為水),在電極處施加一定的電壓,便會在導電介質中形成一個電場,測得各點的電場強度,并除以中心點的電場強度,即得到歸一化后的權函數值,將其繪制成等值線圖便可得到權函數分布圖。
2.1仿真方法
基于電場模擬法,選擇COMSOLMultiphysics有限元仿真軟件求解權函數步驟如下:
1)使用AC/DC模塊中的電流應用程序模式,圓管半徑為32mm,點電極半徑0.4mm,仿真模型為二維模型;
2)電極材質設置為金屬銅,導電液體為水,電導率為1×10-4S/m;
3)測量管具有絕緣襯里,滿足電絕緣邊界條件n→×j→=0,左右電極分別施加1,-1V的電壓;
4)劃分四邊形網格,為了保證仿真結果的精確度,選擇極細化網格;
5)使用穩態求解器進行計算,得到各點處的電場強度,并除以中心點處的電場強度,得到歸一化后的權函數值。
2.2結果分析
2.2.1不同異徑面的影響
為考察不同異徑截面權函數分布的均勻性,使用上述方法對圓形、正方形、八邊形和矩形異徑截面的權函數分布進行定性分析。為了便于對比,設置管道口徑為DN100,異徑部分截面積為3200mm2。所以,圓形異徑面半徑為32mm,正方形異徑面邊長為56.6mm,八邊形異徑面邊長為25.8mm,矩形異徑面長寬為80×40mm。仿真結果如圖1所示,為了便于對比,權函數等勢線大小從0開始,以0.25為步長遞增到30。由圖1(a)~圖1(d)可知,矩形異徑截面的權函數等勢線間距*大,即權函數變化梯度*小,權函數分布*均勻。

為了客觀評價不同異徑截面內權函數分布的均勻程度,采用整體均勻度來定量衡量權函數的均勻性,設電極截面內每個節點的權函數值為 Wk,相應截面的權函數平均值為 W0,則電極截面內權函數的整體均勻度 R 為

通過式( 10) 計算得到圓形、正方形、八邊形、矩形 4 種
不同異徑截面權函數分布的整體均勻度分別為 1. 811 2, 1. 996 9,1. 915 0,1. 563 9。
綜上所述,矩形異徑結構的權函數分布*均勻,所以,異徑dn150污水流量計傳感器采用矩形異徑的管道結構,該結構權函數分布比較均勻,能夠減少非理想流場引入的測量誤差。在實際生產實踐過程中,權函數分布與矩形段長 L、寬 D、 高 H 有關,因此,開展了矩形異徑圓電極dn150污水流量計傳感器的三維權函數建模分析,*終得到一種權函數分布比較均勻的結構尺寸。
2. 2. 2 三維權函數分布
使用 Pro /E 軟件建立三維幾何模型,導入 COMSOL 軟件進行有限元求解。仿真模型如圖 2 所示,電極連線為x 軸,連線中點為坐標原點,流體運動方向為 z 軸,傳感器管道口徑為 DN100,總長250 mm。異徑管部分初始結構尺寸 L = 80 mm,D = 80 mm,H = 40 mm,圓形電極半徑為17 mm,伸出絕緣襯里的*大距離為 1. 5 mm。
1) 長度的影響

*先分析一定 D × H 條件下,L 變化時傳感器內的權函數分布情況。由于傳感器異徑管部分高度 H 越小信號越強,但壓損也越大,因此,H 設置為 30 ~ 50 mm; 異徑管寬度 D 越大壓損越小,但寬度越大傳感器體積也越大,所以, D 設置為 60 ~ 90 mm; 異徑管段上下需要放置激勵線圈,同時異徑段前后需要有一定長度的過渡段來穩定流型,因此, L 設置為 60 ~ 120 mm。一共分析了 6 組 D × H 尺寸的傳感器權函數分布隨 L 的變化情況,如表 2 所示。由于電極截面內的權函數分布對感應電動勢影響*大,因 此,利 用式( 10) 計算電極截面 xy 平面內的權函數整體均勻度 R。定義相同 D × H 條件下,權函數均勻度隨 L 變化的波動率為 ML,如下

計算多組相同 D × H、不同 L 時 xy 平面的權函數整體均勻度 R 及波動率 ML,如表 1 所示。

通過表 1 分析可知,隨著 L 的變化,權函數波動率ML≤ ±2. 5 % ,所以 xy 平面內的權函數整體均勻度變化較小,即長度 L 對電極截面內的權函數分布影響很小。
2) 寬度和高度的影響
通過上述分析可知,L 對傳感器內的權函數分布影響很小,因此固定設置 L 為 80 mm。然后分析異徑段 D,H 同時變化時的權函數分布情況。由上節可知,矩形異徑截面的 D 設置為 60 ~ 90 mm,H 設置為 30 ~ 50 mm。為了便于分析三維權函數與 D,H 的變化關系,設置 H 與 D 變化步長都是 10 mm,因此,H 變化范圍為 30 ~ 60 mm,即 D = { 60,70, 80,90 mm} ,H = { 30,40,50,60 mm} ,一共 16 組異徑dn150污水流量計傳感器結構。
分別對上述結構進行有限元分析,根據式( 10) 計算 xy平面內權函數整體均勻度 R,根據式( 11) 計算權函數隨 H變化的波動率 MH,隨 D 變化的波動率 MD,結果如表 2 所 示。

根據表 1 和表 2 權函數均勻度的波動率數值可以看出,MH > MD > ML,所以,矩形段 L,D,H 對于權函數均勻度的影響程度是依次增強的,高度 H 對權函數均勻度影響*大,寬度 D 影響稍小,長度 L 影響很小。且 D 和 H 越小,權函數整體均勻度 R 越小,權函數分布越均勻。
為了更加全面地比較權函數在三維空間的分布情況,從上述結構中選取 D × H = { 90 × 30,60 × 30,60 × 60} 三組典型結構,分析其權函數在 xy,xz,yz 三個平面內的分布情況。為了便于對比,統一規定三個平面內等勢線的分布步長和數值范圍: 1) xy,xz 平面內的權函數等勢線大小以0. 25為步長,從 0 增加到 30; 2) 由于 yz 平面的權函數小于1,規定 yz 平面內的權函數等勢線大小以 0. 05 為步長,從 0增加到 1。具體如圖 3 ~ 圖 5 所示

通過對圖 3 ~ 圖 5 分析得出以下結論: 1) 圖 3( a) 、圖 4( a) 的 xy 面權函數分布表明,D = 90 mm時中心區域的權函數等勢線間距較大,即權函數變化梯度較小,且中心區域的權函數等勢線逐漸變為直線,因此中心區域的權函數分布更均勻; 但 D = 90 mm 時,電極附近的權函數等勢線較密,且等勢線顏色較深,權函數*大值較大,變化梯度較大,所以,電極附近的權函數分布均勻性較差。因為難以直接衡量 D 改變時,xy 面權函數分布的均勻性。所以,需要利用權函數整體均勻度 R 定量確定 xy 平面內權函數分布的均勻性。結果表明,隨著寬度 D 的減小,權函數分布越來越均勻。
2) 圖 4( a) 、圖 5( a) 的 xy 面權函數分布表明,H = 30 mm時中心區域的權函數等勢線間距較大,且中心區域的權函數等勢線逐漸變為直線; 電極附近的權函數等勢線比較稀疏,且等勢線顏色較淺,權函數*大值較小,變化梯度小,因 此,H = 30 mm 時 xy 面的權函數分布更加均勻。

3) 圖 3( b) ~ 5( b) 的 xz 面權函數分布表明,三組異徑結構的權函數分布情況類似,沒有明顯的區別,即 D 和 H的變化對 xz 面的權函數分布影響較小。
4) 圖 3( c) 、圖 4( c) 的 yz 面權函數分布表明,D = 90 mm時的權函數等勢線間距略大于 D = 60 mm 時的權函數等勢線間距,權函數變化梯度較小,且中心區域的權函數等勢線逐漸變為直線,因此 D = 90 mm 的權函數分布更均勻一些,但是兩者區別很小,即寬度改變對 yz 面權函數分布影響很小。圖 4( c) 、圖 5( c) 的 yz 面權函數分布表明,H = 30 mm時的權函數等勢線間距較大,且中心區域的權函數等勢線逐漸變為直線,因此 H = 30 mm 的權函數分布更加均勻;
5) 圖 3( a) ~ 5( a) 和圖 3( b) ~ 5( b) 權函數分布結果表明,越靠近電極,等勢線顏色越深,即權函數值越大,且越靠近電極,權函數等勢線越密集,即權函數變化梯度越大。

綜上所述,異徑電磁水表異徑段長度 L 對權函數分布的均勻性影響很小,隨著長度 L 的改變,權函數分布基本沒有變化; 異徑段高度 H 對權函數分布的均勻性影響*大,寬度 D 影響稍小,高度和寬度越小,權函數分布越均勻,即異徑dn150污水流量計傳感器的測量精確度受非理想流場的影響越小。
3 結 論
1) 圓形、正方形、八邊形和矩形等 4 種異徑dn150污水流量計傳感器的權函數分析結果表明,矩形異徑截面傳感器的權函數分布*均勻。
2) 電極附近區域,權函數值較大,且權函數變化梯度較大,隨著遠離電極,權函數值越來越小,且權函數變化梯度越來越小。
3) 矩形段高度 H 對權函數分布的均勻性影響*大,隨 著 H 的減小,權函數分布越來越均勻,且 y 軸權函數的分布逐漸趨近于常數 1。矩形段寬度 D 對權函數分布的均勻性影響稍小,隨著 D 的減小,權函數分布越來越均勻。矩形段長度 L 對傳感器內的權函數分布影響很小,隨著 L 的改變,權函數分布沒有明顯變化。
引言
異徑dn150污水流量計傳感器由于安裝空間狹小、前后沒有理想直管段,管道內被測流場通常是非理想流場,將導致測量值與真實值存在較大偏差、影響計量精度。為提高非理想流場的測量性能,需要研究合適的異徑截面形狀和尺寸,以提高傳感器內權函數分布的均勻度。然而國內外相關的研究較少。ShercliffJA和BevirMK等人*次提出和深化了dn150污水流量計的權函數理論。衛開夏等人利用ANSYS有限元軟件求解非滿管dn150污水流量計的權函數分布。孔令富等人使用MATLAB軟件中的PDE工具箱對權函數進行有限元求解。王月明等人基于ANSYS對含有非導電物質時的dn150污水流量計進行有限元分析。李雪菁采用COMSOLMultiphysics有限元軟件求解非絕緣管dn150污水流量計的權函數分布。王經卓等人基于COMSOL軟件,利用流體像素的方法求解dn150污水流量計權函數的分布。上述文獻主要針對圓管dn150污水流量計傳感器點電極的二維權函數進行分析,其研究結果與實際三維情況存在偏差。同時,尚未有人針對異徑dn150污水流量計傳感器三維權函數的分布規律進行研究。由于無可參考的非理想流場測量工況的理論依據,研發人員無法確定究竟何種異徑截面有助于提高權函數均勻度,也無法確定哪一種尺寸有助于提高權函數均勻度。針對這一問題,本文從理論上研究權函數與耦合電動勢關系,確定提高權函數分布均勻度有助于非理想流場測量。通過COMSOL軟件采用電場模擬法,分析4種不同異徑截面dn150污水流量計傳感器的權函數分布均勻度,確定較優的異徑截面形狀。針對優選異徑截面形狀的圓電極dn150污水流量計傳感器,研究權函數分布均勻度與異徑段長寬高之間的規律。所得結論為異徑dn150污水流量計傳感器的測量管結構尺寸設計提供了一定的參考,也為提高異徑dn150污水流量計傳感器的非理想流場測量性能提供了理論依據。
1、dn150污水流量計傳感器檢測原理
當導電性液體在磁場中作切割磁力線運動時,液體中有感應電流產生。假定液體的電導率δ是均勻、各向同性的,則歐姆定律的普遍公式寫作

式中j→為電流密度矢量,為通過液體單位面積的電流,A/m2;E→為電場強度矢量,V/m;v→為流體速度,m/s;B→為磁感應強度,T。當激勵電流角頻率ω不大時,流體中的位移電流完全可以忽略,即

將式(2)帶入式(1)得dn150污水流量計傳感器的基本測量方程

式中U為感應電動勢,V;2為拉普拉斯算子;為哈密頓算子。
通常借助Green函數G來求解微分方程(3),G滿足Laplace方程

根據傳感器的管道形狀和電絕緣邊界條件,建立了完整形式的dn150污水流量計傳感器基本方程

式中V為dn150污水流量計傳感器測量空間;W→為權函數。在直角坐標系(x,y,z)中,式(5)可以轉換為

若磁感應強度在傳感器有效工作區間內分布均勻,則磁感應強度B=By,Bx=Bz=0,式(6)可以化為

當流速為軸向流時,即v=-vz,vx=vy=0;則式(7)表示為

同時,若傳感器內的權函數分布均勻,Wx=W,則式(8)變為

傳感器內的權函數分布均勻時,感應電動勢大小只與流速積分值成正比,不依賴于流型的分布,有利于非理想流場的精確測量。
2權函數仿真與分析
dn150污水流量計傳感器內的流體微元切割磁力線產生感應的電勢和電位,相當于一個個微小的“電源”。某一點的權函數應為該點微元作為“電源”所產生的電位梯度與電極間電位差之比。所以,可以采用電場模擬法測定權函數:傳感器空間內充滿導電液體(一般為水),在電極處施加一定的電壓,便會在導電介質中形成一個電場,測得各點的電場強度,并除以中心點的電場強度,即得到歸一化后的權函數值,將其繪制成等值線圖便可得到權函數分布圖。
2.1仿真方法
基于電場模擬法,選擇COMSOLMultiphysics有限元仿真軟件求解權函數步驟如下:
1)使用AC/DC模塊中的電流應用程序模式,圓管半徑為32mm,點電極半徑0.4mm,仿真模型為二維模型;
2)電極材質設置為金屬銅,導電液體為水,電導率為1×10-4S/m;
3)測量管具有絕緣襯里,滿足電絕緣邊界條件n→×j→=0,左右電極分別施加1,-1V的電壓;
4)劃分四邊形網格,為了保證仿真結果的精確度,選擇極細化網格;
5)使用穩態求解器進行計算,得到各點處的電場強度,并除以中心點處的電場強度,得到歸一化后的權函數值。
2.2結果分析
2.2.1不同異徑面的影響
為考察不同異徑截面權函數分布的均勻性,使用上述方法對圓形、正方形、八邊形和矩形異徑截面的權函數分布進行定性分析。為了便于對比,設置管道口徑為DN100,異徑部分截面積為3200mm2。所以,圓形異徑面半徑為32mm,正方形異徑面邊長為56.6mm,八邊形異徑面邊長為25.8mm,矩形異徑面長寬為80×40mm。仿真結果如圖1所示,為了便于對比,權函數等勢線大小從0開始,以0.25為步長遞增到30。由圖1(a)~圖1(d)可知,矩形異徑截面的權函數等勢線間距*大,即權函數變化梯度*小,權函數分布*均勻。

為了客觀評價不同異徑截面內權函數分布的均勻程度,采用整體均勻度來定量衡量權函數的均勻性,設電極截面內每個節點的權函數值為 Wk,相應截面的權函數平均值為 W0,則電極截面內權函數的整體均勻度 R 為

通過式( 10) 計算得到圓形、正方形、八邊形、矩形 4 種
不同異徑截面權函數分布的整體均勻度分別為 1. 811 2, 1. 996 9,1. 915 0,1. 563 9。
綜上所述,矩形異徑結構的權函數分布*均勻,所以,異徑dn150污水流量計傳感器采用矩形異徑的管道結構,該結構權函數分布比較均勻,能夠減少非理想流場引入的測量誤差。在實際生產實踐過程中,權函數分布與矩形段長 L、寬 D、 高 H 有關,因此,開展了矩形異徑圓電極dn150污水流量計傳感器的三維權函數建模分析,*終得到一種權函數分布比較均勻的結構尺寸。
2. 2. 2 三維權函數分布
使用 Pro /E 軟件建立三維幾何模型,導入 COMSOL 軟件進行有限元求解。仿真模型如圖 2 所示,電極連線為x 軸,連線中點為坐標原點,流體運動方向為 z 軸,傳感器管道口徑為 DN100,總長250 mm。異徑管部分初始結構尺寸 L = 80 mm,D = 80 mm,H = 40 mm,圓形電極半徑為17 mm,伸出絕緣襯里的*大距離為 1. 5 mm。
1) 長度的影響

*先分析一定 D × H 條件下,L 變化時傳感器內的權函數分布情況。由于傳感器異徑管部分高度 H 越小信號越強,但壓損也越大,因此,H 設置為 30 ~ 50 mm; 異徑管寬度 D 越大壓損越小,但寬度越大傳感器體積也越大,所以, D 設置為 60 ~ 90 mm; 異徑管段上下需要放置激勵線圈,同時異徑段前后需要有一定長度的過渡段來穩定流型,因此, L 設置為 60 ~ 120 mm。一共分析了 6 組 D × H 尺寸的傳感器權函數分布隨 L 的變化情況,如表 2 所示。由于電極截面內的權函數分布對感應電動勢影響*大,因 此,利 用式( 10) 計算電極截面 xy 平面內的權函數整體均勻度 R。定義相同 D × H 條件下,權函數均勻度隨 L 變化的波動率為 ML,如下

計算多組相同 D × H、不同 L 時 xy 平面的權函數整體均勻度 R 及波動率 ML,如表 1 所示。

通過表 1 分析可知,隨著 L 的變化,權函數波動率ML≤ ±2. 5 % ,所以 xy 平面內的權函數整體均勻度變化較小,即長度 L 對電極截面內的權函數分布影響很小。
2) 寬度和高度的影響
通過上述分析可知,L 對傳感器內的權函數分布影響很小,因此固定設置 L 為 80 mm。然后分析異徑段 D,H 同時變化時的權函數分布情況。由上節可知,矩形異徑截面的 D 設置為 60 ~ 90 mm,H 設置為 30 ~ 50 mm。為了便于分析三維權函數與 D,H 的變化關系,設置 H 與 D 變化步長都是 10 mm,因此,H 變化范圍為 30 ~ 60 mm,即 D = { 60,70, 80,90 mm} ,H = { 30,40,50,60 mm} ,一共 16 組異徑dn150污水流量計傳感器結構。
分別對上述結構進行有限元分析,根據式( 10) 計算 xy平面內權函數整體均勻度 R,根據式( 11) 計算權函數隨 H變化的波動率 MH,隨 D 變化的波動率 MD,結果如表 2 所 示。

根據表 1 和表 2 權函數均勻度的波動率數值可以看出,MH > MD > ML,所以,矩形段 L,D,H 對于權函數均勻度的影響程度是依次增強的,高度 H 對權函數均勻度影響*大,寬度 D 影響稍小,長度 L 影響很小。且 D 和 H 越小,權函數整體均勻度 R 越小,權函數分布越均勻。
為了更加全面地比較權函數在三維空間的分布情況,從上述結構中選取 D × H = { 90 × 30,60 × 30,60 × 60} 三組典型結構,分析其權函數在 xy,xz,yz 三個平面內的分布情況。為了便于對比,統一規定三個平面內等勢線的分布步長和數值范圍: 1) xy,xz 平面內的權函數等勢線大小以0. 25為步長,從 0 增加到 30; 2) 由于 yz 平面的權函數小于1,規定 yz 平面內的權函數等勢線大小以 0. 05 為步長,從 0增加到 1。具體如圖 3 ~ 圖 5 所示

通過對圖 3 ~ 圖 5 分析得出以下結論: 1) 圖 3( a) 、圖 4( a) 的 xy 面權函數分布表明,D = 90 mm時中心區域的權函數等勢線間距較大,即權函數變化梯度較小,且中心區域的權函數等勢線逐漸變為直線,因此中心區域的權函數分布更均勻; 但 D = 90 mm 時,電極附近的權函數等勢線較密,且等勢線顏色較深,權函數*大值較大,變化梯度較大,所以,電極附近的權函數分布均勻性較差。因為難以直接衡量 D 改變時,xy 面權函數分布的均勻性。所以,需要利用權函數整體均勻度 R 定量確定 xy 平面內權函數分布的均勻性。結果表明,隨著寬度 D 的減小,權函數分布越來越均勻。
2) 圖 4( a) 、圖 5( a) 的 xy 面權函數分布表明,H = 30 mm時中心區域的權函數等勢線間距較大,且中心區域的權函數等勢線逐漸變為直線; 電極附近的權函數等勢線比較稀疏,且等勢線顏色較淺,權函數*大值較小,變化梯度小,因 此,H = 30 mm 時 xy 面的權函數分布更加均勻。

3) 圖 3( b) ~ 5( b) 的 xz 面權函數分布表明,三組異徑結構的權函數分布情況類似,沒有明顯的區別,即 D 和 H的變化對 xz 面的權函數分布影響較小。
4) 圖 3( c) 、圖 4( c) 的 yz 面權函數分布表明,D = 90 mm時的權函數等勢線間距略大于 D = 60 mm 時的權函數等勢線間距,權函數變化梯度較小,且中心區域的權函數等勢線逐漸變為直線,因此 D = 90 mm 的權函數分布更均勻一些,但是兩者區別很小,即寬度改變對 yz 面權函數分布影響很小。圖 4( c) 、圖 5( c) 的 yz 面權函數分布表明,H = 30 mm時的權函數等勢線間距較大,且中心區域的權函數等勢線逐漸變為直線,因此 H = 30 mm 的權函數分布更加均勻;
5) 圖 3( a) ~ 5( a) 和圖 3( b) ~ 5( b) 權函數分布結果表明,越靠近電極,等勢線顏色越深,即權函數值越大,且越靠近電極,權函數等勢線越密集,即權函數變化梯度越大。

綜上所述,異徑電磁水表異徑段長度 L 對權函數分布的均勻性影響很小,隨著長度 L 的改變,權函數分布基本沒有變化; 異徑段高度 H 對權函數分布的均勻性影響*大,寬度 D 影響稍小,高度和寬度越小,權函數分布越均勻,即異徑dn150污水流量計傳感器的測量精確度受非理想流場的影響越小。
3 結 論
1) 圓形、正方形、八邊形和矩形等 4 種異徑dn150污水流量計傳感器的權函數分析結果表明,矩形異徑截面傳感器的權函數分布*均勻。
2) 電極附近區域,權函數值較大,且權函數變化梯度較大,隨著遠離電極,權函數值越來越小,且權函數變化梯度越來越小。
3) 矩形段高度 H 對權函數分布的均勻性影響*大,隨 著 H 的減小,權函數分布越來越均勻,且 y 軸權函數的分布逐漸趨近于常數 1。矩形段寬度 D 對權函數分布的均勻性影響稍小,隨著 D 的減小,權函數分布越來越均勻。矩形段長度 L 對傳感器內的權函數分布影響很小,隨著 L 的改變,權函數分布沒有明顯變化。


